 
   James Hardie Industries plc  Europa House 2nd Floor,  Harcourt Centre  Harcourt Street, Dublin 2,   D02 WR20, Ireland     T: +353 (0) 1 411 6924  F: +353 (0) 1 479 1128    James Hardie Industries plc is a limited liability company incorporated in Ireland with its registered office at   Europa House 2nd Floor, Harcourt Centre, Harcourt Street, Dublin 2, D02 WR20, Ireland.   Directors: Anne Lloyd (Chairperson, USA), Peter-John Davis (Aus), Persio Lisboa (USA), Renee Peterson (USA),  Rada Rodriguez (Sweden), Suzanne B. Rowland (USA), Nigel Stein (UK), Harold Wiens (USA).  Chief Executive Officer and Director: Aaron Erter (USA)  Company number: 485719  ARBN: 097 829 895    12 April 2023      The Manager  Company Announcements Office  Australian Securities Exchange Limited  20 Bridge Street  SYDNEY NSW 2000      Dear Sir/Madam  Substantial Holding Notice    As required under ASX Listing Rule 3.17.3 please see attached copy of the substantial  holding notice received by James Hardie on 10 April 2023.        Regards      Aoife Rockett  Company Secretary    This announcement has been authorised for release by the Chief Financial Officer, Mr Jason  Miele.                  
 
 
 
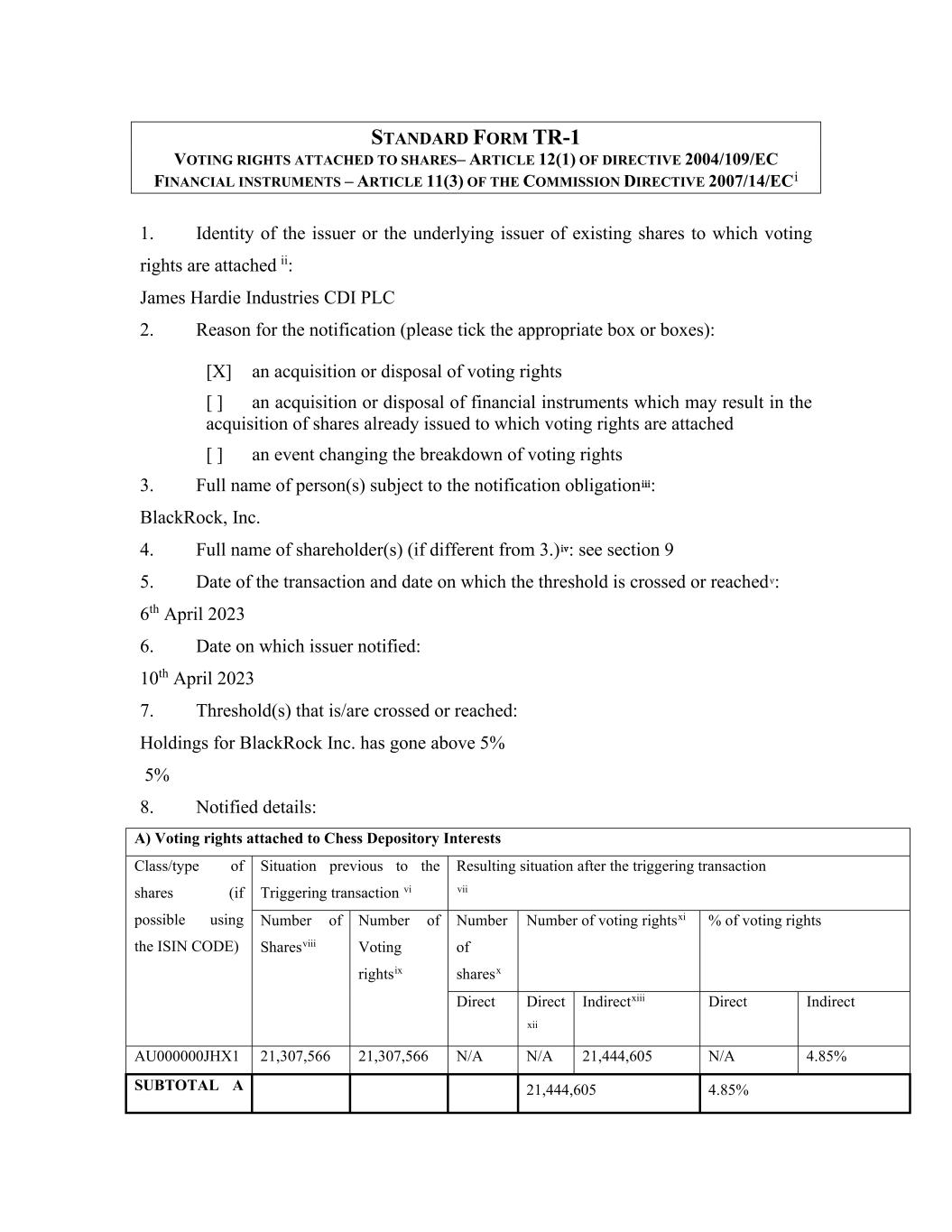
STANDARD FORM TR-1  VOTING RIGHTS ATTACHED TO SHARES– ARTICLE 12(1) OF DIRECTIVE 2004/109/EC  FINANCIAL INSTRUMENTS – ARTICLE 11(3) OF THE COMMISSION DIRECTIVE 2007/14/ECi  1. Identity of the issuer or the underlying issuer of existing shares to which voting  rights are attached ii:   James Hardie Industries CDI PLC   2. Reason for the notification (please tick the appropriate box or boxes):  [X]  an acquisition or disposal of voting rights   [ ]  an acquisition or disposal of financial instruments which may result in the  acquisition of shares already issued to which voting rights are attached  [ ] an event changing the breakdown of voting rights   3. Full name of person(s) subject to the notification obligationiii:  BlackRock, Inc.  4. Full name of shareholder(s) (if different from 3.) iv: see section 9  5.  Date of the transaction and date on which the threshold is crossed or reachedv:  6th April 2023  6.         Date on which issuer notified:  10th April 2023  7.  Threshold(s) that is/are crossed or reached:   Holdings for BlackRock Inc. has gone above 5%   5%  8.  Notified details:   A) Voting rights attached to Chess Depository Interests  Class/type of  shares (if  possible using  the ISIN CODE)  Situation previous to the  Triggering transaction vi  Resulting situation after the triggering transaction  vii   Number of  Sharesviii  Number of  Voting  rightsix  Number  of  sharesx  Number of voting rightsxi % of voting rights  Direct    Direct xii  Indirectxiii Direct Indirect  AU000000JHX1 21,307,566 21,307,566 N/A N/A 21,444,605 N/A 4.85%  SUBTOTAL A    21,444,605 4.85%  
 
 
 
(based on  aggregate voting  rights)    B) Financial Instruments  Resulting situation after the triggering transactionxiv  Type of financial  instrument   Expiration Datexv Exercise/Conversion   Period/ Datexvi  Number of voting  rights that may be  acquired if the  instrument is  exercised/converted   % of voting rights  American Depository  Receipt  (US47030M1062)    679,411 0.15%         SUBTOTAL B (in  relation to all  expiration dates)  679,411 0.15%    Total (A+B) number of voting  rights  % of voting rights  22,124,016 22,124,016 5.00%                          
 
 
 
  9. Chain of controlled undertakings through which the voting rights and/or the  financial instruments are effectively held, if applicablexvii:     Each of the following entities, which are wholly owned subsidiaries of BlackRock, Inc.,  hold the following interests in voting rights in their capacity as Investment Manager on  behalf of clients:  Investment Manager Voting Rights %  BlackRock Fund Advisors 7,404,451 1.67%  BlackRock Institutional Trust Company, National Association 5,576,042 1.26%  BlackRock Investment Management (Australia) Limited 2,930,042 0.66%  BlackRock Advisors (UK) Limited 2,627,736 0.59%  BlackRock Investment Management (UK) Limited 898,981 0.20%  BlackRock Japan Co., Ltd. 745,841 0.16%  BlackRock Investment Management, LLC 427,473 0.09%  BlackRock Asset Management Canada Limited 387,856 0.08%  BlackRock Advisors, LLC 260,183 0.05%  Aperio Group, LLC 111,519 0.02%  BlackRock Financial Management, Inc. 62,958 0.01%  BlackRock (Singapore) Limited 11,524 0.00%    10. In case of proxy voting: [name of the proxy holder] will cease to hold [number]  voting rights as of [date].  11. Additional information:  Done at 12 Throgmorton Avenue, London, EC2N 2DL, U.K. on 10th April 2023.                             
 
 
